Skip to content
Primary Navigation Menu
Menu
Home
News
Bizwire
Visual
International
Cricwire
YAMU
Click Here
Click Here
EDUWIRE
Search
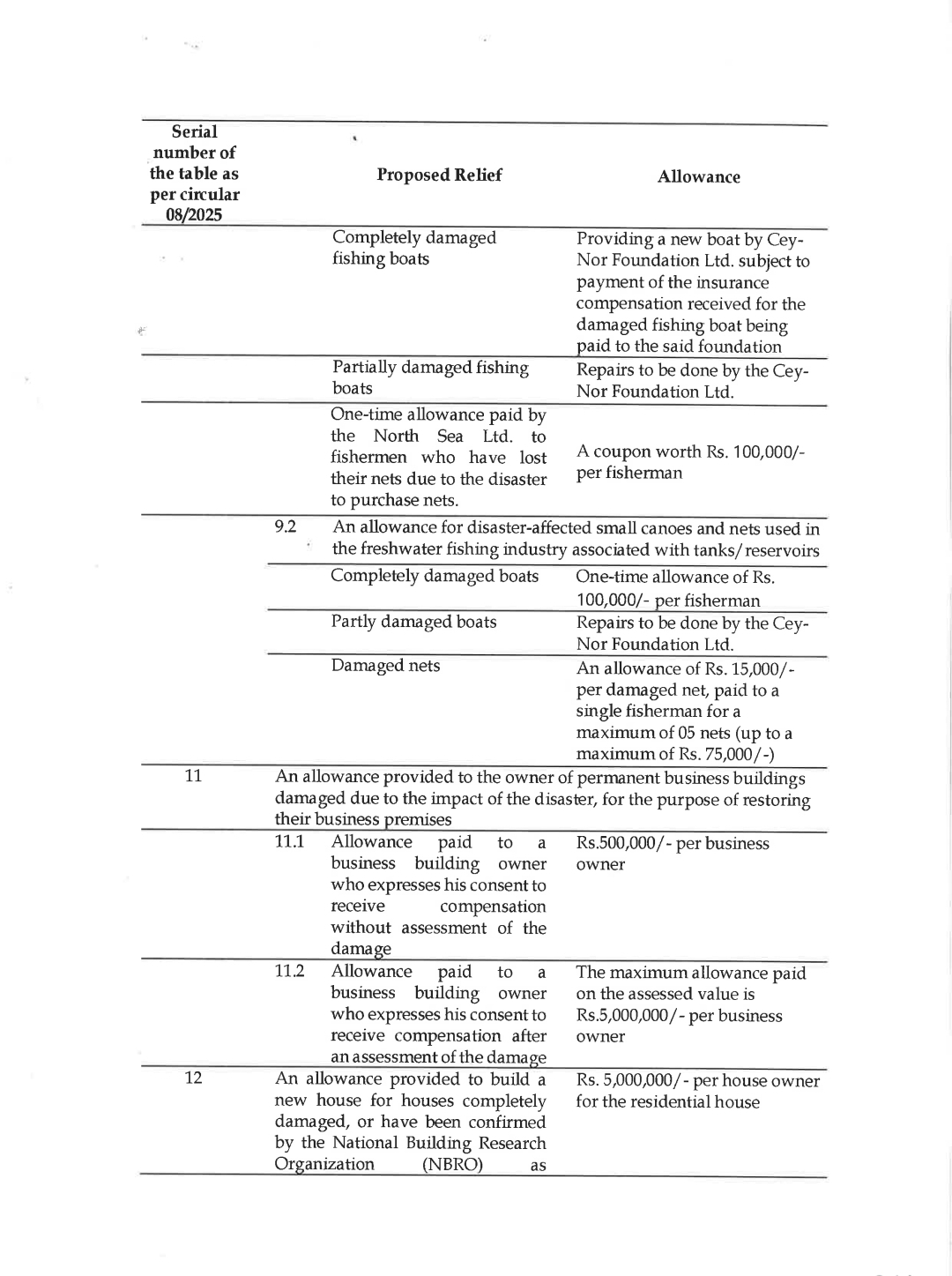
Disaster relief new Government circular issued
December 22, 2025 at 4:54 PM
2025-12-22